点击这里给 郭经理 发信息
点击这里给 周小姐 发信息
 
 
公司简介产品展示资料下载联系我们留言板

 

 NTC热敏电阻材料

      负温度系数(NTC)热敏电阻材料由高纯度过渡金属Mn Cu Ni等元素的氧化物经共沉淀制粉、等静压成型后1200-1400℃高温烧结而成 , 结合先进的

  半导体切、划片工艺及玻封、环氧工艺制成各种类型NTC热敏电阻,产品种类齐全、精度高、稳定性好。阻值范围0.5~2000kΩ,B值范围2500~4500

 

 产品应用领域

      冰箱  空调  电热水器  整体浴室  电子万年历   微波炉  粮仓测温  碗机  电饭煲  电子盥洗设备

  冰柜  豆浆机  机电池  充电器  电磁炉  面包机  消毒柜  饮水机   温控仪表   医疗仪器  汽车测温   电烤箱  火灾报警等领域

 

 NTC热敏电阴的基本特特

     NTC 热敏电阻的基本物理物性有:电阻值、B值、耗散系数、时间常数
 

 

定义如下:

 

电 阻 值 R(kΩ)

电阻值可以近似地用如下公式表达:

其中: R1、R2 为绝对温度下T1、T2 时的电阻值();
       BB值(K
 

 

B B (K)

B值反映了两个温度之间的电阻变化,可用下述公式计算:

其中: R1、R2 绝对温度T1、T2时的电阻值(Ω

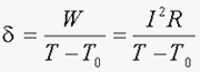
耗 散 系 数 δmW/℃):

耗散系数是指热敏电阻消耗的功率与环境温度变化之比:

其中:W   热敏电阻消耗的功率(mW
           T    热平衡时的温度
           
T0   周围环境温度
           I    在温度T时通过热敏电阻电流
           R    在温度T时热敏电阻的电阻值(Ω

时间常数τ (sec.)

        热敏电阻在零功率状态下,当环境温度由一个特定温度向另一个特定温度突变时, 热敏电阻阻值变化63.2%所需时间。
 

山市中亚电子有限公司 版权所有 © 2006-2008
公司地址:中山市东凤镇升平路154号
邮编 215128 Tel:0760-22621200 Fax:22613000

《中华人民共和国电信与信息服务业务经营许可证》粤ICP备
09002343